이슈
가비아 DNS장애 가 복구 된거 같다.
rCan
2023. 2. 24. 13:25
728x90
반응형
현재 시간 오후 1시 10분?
접속 안되던 서비스들이 슬슬 접속 되기 시작한다.
내 블로그도 접속이 된다.
회사 서비스들도 접속 되기 시작한다..
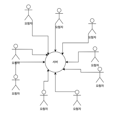
디도스란?
DDoS ( Distributed DoS attack ) : 분산 서비스 거부 공격??? 라는대
쉽게 말해서 여러명이 하나의 서버에다가 열심히 요청을 하면 해당 서버나 네트워크 쪽에 장애생긴다는거.
다구리에는 장사가 없...

서버에 겁나 많은 사람/봇들이 겁나게 접속할때....
예를 들어 예전에 학교시스템에 접속하여 수강신청생각하면 좋을꺼 같다.
단순 요청건수가 많아서 서버 마비가 될수도 있지만 네트워크 트래픽이 문제가 될수 있고 여러가지 문제가 생긴다.
요인은 많다. 그에 따른 처리 방안도 많다. 힘들다..
여튼 서비스들은 정상적으로 복구 되고 있는거 같다.
728x90
반응형
SMALL